Beranda
/ Contoh Soal Kemencengan Data Berkelompok / Doc Ukuran Kemencengan Sri Mulyani Academia Edu - Contoh soal statistika data kelompok dan pembahasannya pdf nada blog.
Contoh Soal Kemencengan Data Berkelompok / Doc Ukuran Kemencengan Sri Mulyani Academia Edu - Contoh soal statistika data kelompok dan pembahasannya pdf nada blog.
Contoh Soal Kemencengan Data Berkelompok / Doc Ukuran Kemencengan Sri Mulyani Academia Edu - Contoh soal statistika data kelompok dan pembahasannya pdf nada blog.. Estimasi model regresi untuk teori keynes data hipotetik lanj. Buku matematika untuk kelas xi sma. 32+ contoh soal statistika data kelompok. Semoga postingan ini bermanfaat bagi pembaca dan bisa dijadikan sumber literatur untuk mengerjakan tugas. Contoh soal mencari nilai median data kelompok.
Contoh soal median data tunggal 1: Rumus dan contoh soal jangkauan simpangan ragam. Koefisien kemencengan momen untuk data berkelompok dirumuskan : Ukuran penyimpangan dan kecondongan beserta contoh soal.docx. Nilai ujian statistika pada semester 2, 2010.
Ukuran Kemiringan Dan Keruncingan Pdf from imgv2-2-f.scribdassets.com Contoh soal hitung koefisien skewness. Tentukan median dari tabel dibawah ini : Contoh soal kuartil, simpangan kuartil, dsb. Contoh soal mencari nilai median data kelompok. Untuk data tunggal koefisien kemencengan momen untuk data tunggal dirumuskan : Koefisien kemencengan momen untuk data berkelompok dirumuskan : Langkah pertama adalah mencari median nya terlebih dahulu yaitu 1/2 60 = 30. Pada pos ini, saya ingin mencoba berbagi catatan materi dan tugas mengenai ukuran pemusatan data untuk data berkelompok.
Koefisien kemencengan momen untuk data berkelompok dirumuskan :
Nilai ujian statistika pada semester 2, 2010. 2, 3, 5, 9, 11! Contoh soal uji wilcoxon 1072 views. Kuartil kuartil adalah ukuran pemusatan data yang membagi data menjadi empat bagian… Untuk mencari nilai , dibedakan antara data tunggal dan data berkelompok. Namun nilai yang dihasilkan dari nilai tengah kelas interval ini adalah nilai yang kasar. Pada artikel kali ini akan dibahas mengenai mean berbagai jenis data tersebut diolah dan dipublikasikan agar memberikan informasi yang berguna. Hitung mean dari data berikut ini. Contoh soal mencari nilai median data kelompok. Berikut ini adalah data nilai ujian statistik dari 40 mahasiswa sebuah universitas. Nilai frekuensi 10 20 2 21 31 8 32 42 15 43 53 7 54 64 10 65 75 3 berdasarkan data tersebut. Bahkan untuk penghitungan statistik dan statistika penggunaan mean ini dianggap sebagai ukuran tendensi sentral dari distribusi probabilitas sepanjang median data tunggalmedian data kelompok dan modus data tunggalmodus data kelompok. Kemudian juga terdiri dari leptocurtic mesokurtic dan platykurtic.
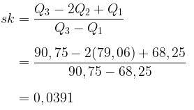
ฮ3 = koefisien kemencengan momen cara mengukur kemencengan relatif kemencengan relatif sangat tergantung pada bentuk kurva frekuensi dan sering kali di gunakan sebagai pengukuran kemencengan. Estimasi model regresi untuk teori keynes data hipotetik lanj. Sebelumnya akan dijelaskan dulu tentang bentuk penyajian data kelompok. A) tentukan nilai sk dan ujilah arah kemencengannya (gunakan kedua rumus tersebut) ! Hitung mean dari data berikut ini.
Ppt Ukuran Dispersi Powerpoint Presentation Free Download Id 5764898 from image3.slideserve.com Contoh soal mean data kelompok contoh soal mean data kelompok.contoh soal mean data kelompok. Hitung mean dari data berikut ini. Pada artikel kali ini akan dibahas mengenai mean berbagai jenis data tersebut diolah dan dipublikasikan agar memberikan informasi yang berguna. Di pertemuan kali ini kita akan membahas persentil baik untuk data tunggal maupun data kelompok, lengkap dengan contoh soal persentil dan pembahasannya. Untuk data tunggal koefisien kemencengan momen untuk data tunggal dirumuskan sebagai: By azzahra rahmah posted on june 1, 2021. Hal ini diakibatkan spaya data yang akan disajikan lebih terlihat sederhana dan lebih mudah untuk dibaca atau dianalisis. Pada data ke 30 dan dicari dari frekuensi dengan membahkan 10+8+9+7=34.
Contoh soal statistik data kelompok dan penyelesaiannya rumus.
Data berkelompok dapat disajikan dalam bentuk tabel distribusi frekuensi diagram batang dan lain sebagainya. Hasil ulangan siswa kls 2 sma mata. Koefisien kemencengan momen untuk data berkelompok dirumuskan : Nilai ujian statistika pada semester 2, 2010. Rumus dari desil data berkelompok ini sama saja dengan kuartil data kelompok yang sudah pernah kita bahas sebelumnya cuman bedanya desil data kelompok ini pembagi nya 10 bukan 4 dan desil nya bisa dicari. Kuartil kuartil adalah ukuran pemusatan data yang membagi data menjadi empat bagian… Jika selisih antara frekuensi kelas modus dengan kelas. Contoh soal pemusatan data kelompok. Semoga postingan ini bermanfaat bagi pembaca dan bisa dijadikan sumber literatur untuk mengerjakan tugas. ฮ3 = koefisien kemencengan momen cara mengukur kemencengan relatif kemencengan relatif sangat tergantung pada bentuk kurva frekuensi dan sering kali di gunakan sebagai pengukuran kemencengan. Berikut ini adalah data nilai ujian statistik dari 40 mahasiswa sebuah universitas. Pada artikel kali ini akan dibahas mengenai mean berbagai jenis data tersebut diolah dan dipublikasikan agar memberikan informasi yang berguna. Hal ini diakibatkan spaya data yang akan disajikan lebih terlihat sederhana dan lebih mudah untuk dibaca atau dianalisis.
Contoh soal pemusatan data kelompok. Nilai frekuensi 10 20 2 21 31 8 32 42 15 43 53 7 54 64 10 65 75 3 berdasarkan data tersebut. 201912contoh soal simpangan baku data kelompok. Semoga postingan ini bermanfaat bagi pembaca dan bisa dijadikan sumber literatur untuk mengerjakan tugas. Soal kemencengan untuk data berkelompok.
Momen Kemiringan Dan Keruncingan 7 from image.slidesharecdn.com Sebelumnya akan dijelaskan dulu tentang bentuk penyajian data kelompok. A) tentukan nilai sk dan ujilah arah kemencengannya (gunakan kedua rumus tersebut) ! Cara penghitungannya adalah sebagai berikut. Buku matematika untuk kelas xi sma. Belajar kuartil data berkelompok dengan video dan kuis interaktif. Jika selisih antara frekuensi kelas modus dengan kelas. Koefisien kemencengan momen untuk data berkelompok dirumuskan : Berikut ini adalah data nilai ujian statistik dari 40 mahasiswa sebuah universitas.
Pada data ke 30 dan dicari dari frekuensi dengan membahkan 10+8+9+7=34.
2, 3, 5, 9, 11! Data tunggal data kelompok dan contoh soal by guru angga posted on september 20 2020. Langkah pertama adalah mencari median nya terlebih dahulu yaitu 1/2 60 = 30. Contoh soal hitung koefisien skewness. Hal ini diakibatkan spaya data yang akan disajikan lebih terlihat sederhana dan lebih mudah untuk dibaca atau dianalisis. Pada suatu kelas didapatkan hasil nilai ulangan siswa sebagai berikut. Hasil ulangan siswa kls 2 sma mata. Koefisien kemencengan momen untuk data tunggal dirumuskan: Contoh soal kuartil, simpangan kuartil, dsb. Rumus mean median dan modus data kelompok contoh soal banyaknya data yang diperoleh dari hasil sebuah penelitian sangat sering untuk disajikan dalam data kelompok. Di pertemuan kali ini kita akan membahas persentil baik untuk data tunggal maupun data kelompok, lengkap dengan contoh soal persentil dan pembahasannya. Koefisien kemencengan momen contoh : Berikut ini adalah data nilai ujian statistik dari 40 mahasiswa sebuah universitas.
Berbagi
Posting Komentar
untuk "Contoh Soal Kemencengan Data Berkelompok / Doc Ukuran Kemencengan Sri Mulyani Academia Edu - Contoh soal statistika data kelompok dan pembahasannya pdf nada blog."
Posting Komentar untuk "Contoh Soal Kemencengan Data Berkelompok / Doc Ukuran Kemencengan Sri Mulyani Academia Edu - Contoh soal statistika data kelompok dan pembahasannya pdf nada blog."